Continuando con los festejos gastronómicos de este barrio barakaldés, se han celebrado los Concursos de Tortillas de Patata y de Sukalki, al que nuevamente, MAKILAREN KOFRADIA ha acudido como Jurado.
Habiendo resultado ganadores:
1º IKER TENO DÍAZ
2º MERCEDES GÓMEZ VERDUGO
3º INMA SANTOS
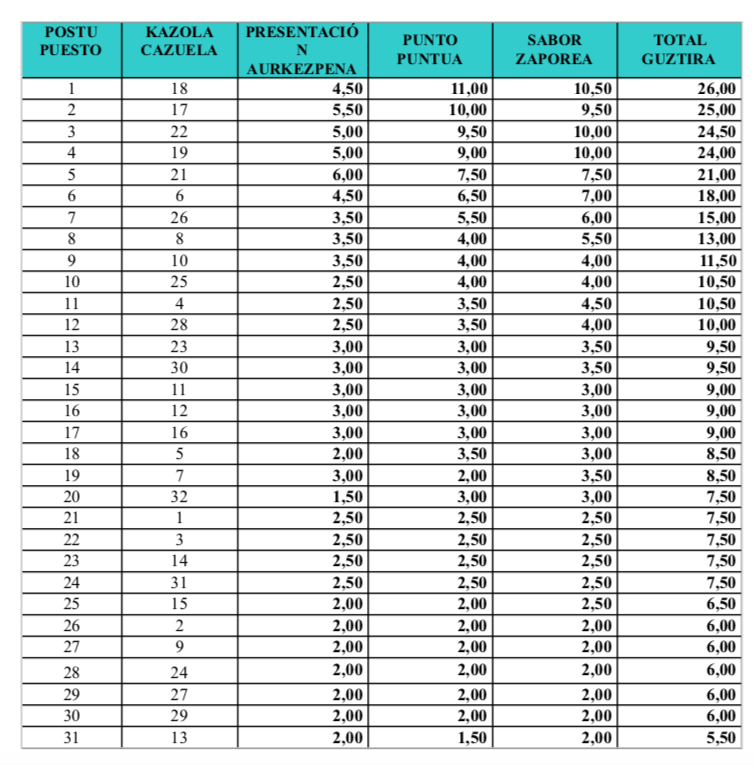
Os presentamos a continuación la Clasificación General de las Tortillas

Se ha presentado a la vez, el Concurso de Sukalki, cuya Clasificación General os presentamos a continuación, habiendo resultado ganadores:
1º EDUARDO PÉREZ
2º FERNANDO CARUS SÁNCHEZ
3º IBAN LARA













